首页
关于我们
联系我们
Ai分享
产品展示
新闻
企业文化
让建站和SEO变得简单
让不懂建站的用户快速建站,让会建站的提高建站效率!
产品展示
你的位置:
国产极品嫩模在线观看91
>
产品展示
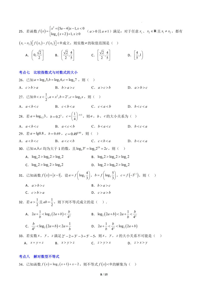
> 专题10 对数函数(竞赛培优专项推行)
专题10 对数函数(竞赛培优专项推行)
发布日期:2025-12-21 14:41 点击次数:142
1.高考全日制冲刺,按筹算完成度收费,2.寒假集训,模块化学习,可定制。
上一篇:
刚刚!“货币构兵”爆发!
下一篇:
斯诺克赛场惊现“交白卷”
国产极品嫩模在线观看91
关于我们
联系我们
Ai分享
产品展示
新闻
企业文化
热点资讯
他在这3个细节里的“假糖”, 早该剖析了
AI硅胶娃娃下乡,独身中老年大爷围不雅,网友:不要彩礼、不会得病
一晚近万元仍“爆满”,这地民宿火了!
中超控股副总司理赵汉军离任, 年纪53岁在公司董事和高管中排5/10, 薪酬26万元在董事和高管中排
宋威龙责任室发布声明 针对宋威龙女友话题回答辟谣